摘要:本文设西安某地下工程总建筑面积超过70万m2,地下平均深度超过10 m,为充分利用地下空间空气能,将地下2层的通风有组织地排至空气源热泵室外机侧及冷却塔进风侧;空调新风通过敷设在地下的水平土建风道夏季预冷、冬季预热。建立了模型,计算分析地下空间空气能利用的节能潜力。工程运行实测数据与分析结果较为吻合。 关键词:地下建筑综合体;空气能;空气源热泵;冷却塔;土建风道;热回收; 作者:熊超 崇楠 赵民 杨小龙
随着我国经济的快速发展,各大中小城市新建了大量建筑,这些建筑一般都设有地下室。这些地下空间大多在地面6 m以下,常年温度恒定,相对于室外温度而言,冬季空气温度高,夏季空气温度低
西安市幸福林带项目南起西安西影路,北至华清路,主体位于幸福路和万寿路之间,东西宽140 m, 南北长5.85 km。项目地上为城市林带景观,地下1层为商业、超市、影院、书店、体育场馆、美术馆、文化馆、图书馆、博物馆等公共配套设施,地下2层为停车场及人防工程,地下总建筑面积超过70万m2,地下平均埋深大于10 m。该林带项目是目前国内最大的城市林带工程,也是全球已建成的最大地下空间综合利用工程。西安地区地下10 m深度范围内地层温度相对稳定,维持在16 ℃左右
室外空气流经地下空间,由于该空间土壤与室外空气存在温差,室外空气从地下空间换热获得免费能量。建立了非稳态传热模型,该模型以通风量、地下空间换热面积、室外气象参数为已知量,计算排出口空气温度。模型计算条件为:地下空间周围土壤物性为常数;机械通风时,地下空间内空气换热以对流换热为主;地下空间空气流速分布均匀;由于土壤中湿迁移对系统换热的影响非常小,不影响工程精度,忽略湿迁移的影响,仅考虑显热影响。
根据热平衡方程:

式中 cp为空气的比定压热容,J/(kg·℃),取1 005 J/(kg·℃);G为质量流量,kg/s; t2为空气的终温,℃;t1为空气的初温,℃;α为空气与地下空间壁面的表面传热系数,W/(m2·℃);F为地下换热表面积,m2;tw为地下空间壁面温度,℃。
在传热过程中,由于地层的蓄热特性,地下空间土壤侧壁面温度是时间及壁面长度的函数,计算复杂,无法确定。距离壁面一定厚度处的土壤温度t0为恒定值,根据此厚度及恒定的土壤温度,引入圆桶壁传热公式确定内表面传热系数Kz:

式中 Δt为空气温度与土壤自然温度之差,℃。
引入对数温差,经过换项公式变换为

由于t1即室外温度为时间的任意函数,根据谐波法,引入空调室外计算温度tk,项目地下空间通风均为间歇使用,引入间断通风系数B

表1给出了间断通风系数推荐值。
表1 间断通风系数推荐值
F/(cpG) | ||||||||||
0.05 | 0.10 | 0.15 | 0.20 | 0.25 | 0.30 | 0.35 | 0.40 | 0.45 | 0.50 | |
B | 1.13 | 1.14 | 1.17 | 1.20 | 1.27 | 1.35 | 1.45 | 1.60 | 1.75 | 1.90 |
空气源热泵使用方便,能量利用率高,且可以充分利用大气环境中的低位能源,对使用地区基本不产生污染。但在西安地区,因冬季室外空气温度较低,若以室外空气作为空气源热泵的低位热源,供暖期低温天气时,室外机换热器会结霜,由于化霜及室外温度的大幅降低,热泵机组制热量减少,性能系数(COP)下降严重,甚至机组不能运行,因此为保证冬季供热工况稳定,需增加电辅助加热设备。
该项目地下2层为地下车库及人防工程,设有多个机动车库出入口。利用车库出入口车道上方空间设置多联机室外机平台,室外机平台与地下2层车道空气连通,室外机机械排风口通过顶部导流风管与室外大气相通(见图1)。冬季多联机空调机组热泵工况运行,相对室外空气来自地下2层的空气为高温空气,经多联机系统的热泵提升作用后发生能量转移,变为低温空气,室外机内置排风机通过导流风管将低温空气强制排至室外后,室外机平台空间形成负压,地下车库及车道的高温空气重新被诱导至室外机空间,并与热泵室外机进行能量交换,从而形成地下空间的高温空气经室外机排风诱导吸收地下2层空间空气能后排至室外的冬季循环。地下2层的高温空气不仅有利于热泵工况效率提高,还解决了室外机冬季结霜化霜的难题。夏季制冷循环时气流方向与冬季热泵循环相同,不同的是夏季地下2层空气温度低于室外温度,同样提高了多联机系统的性能系数COP。

图1 空气源热泵利用地下2层空气能作为室外机 低位冷热源示意图
针对图1,将表2计算参数代入式(4),可计算出冬夏季地下空间出口空气温度,即冬夏季设计工况下空气源热泵机组室外机进风参数。
由表2可知,经地下空间换热获取免费能量后,作为空气源热泵室外机低位冷热源的地下空间出口空气的温度参数优于常规工况下室外空气温度。为方便对比,选用相同的热泵机组(制冷/制热量为303 kW/339 kW,风量为105 300 m3/h)在常规工况下运行,列出2组机组运行后的相关参数,见表3。
表2 空气源热泵机组利用地下空间空气能计算参数
夏季 | 冬季 | |
土壤温度t0/℃ | 16 | 16 |
传热系数/(W/(m2·K)) | 2.5 | 2.5 |
室外计算干球温度/℃ | 35.0 | -5.7 |
室外计算湿球温度/℃ | 25.8 | -7.1 |
风量G/(kg/h) | 126 360 | 126 360 |
地下空间换热面积/m2 | 45 050 | 45 050 |
地下空间出口干球温度/℃ | 27.4 | 9.8 |
地下空间出口湿球温度/℃ | 21.8 | 2.2 |
表3 地下空间排风用于空气源热泵室外机进风与常规工况对比
参数 | 利用地下空间 | 常规工况 | |
制冷工况 | 室外机进风温度/℃ | 27.40 | 35.00 |
耗电功率/kW | 80.16 | 85.84 | |
机组性能系数 | 3.78 | 3.53 | |
运行费用/万元 | 3.85 | 4.12 | |
制热工况 | 室外机进风湿球温度/℃ | 2.20 | -7.10 |
耗电功率/kW | 86.48 | 93.65 | |
机组性能系数 | 3.92 | 3.62 | |
运行费用/万元 | 4.15 | 4.50 |
从表3可知,相对于常规工况,利用地下空间空气能后的夏季工况热泵机组性能系数提高7.1%,运行费用降低6.6%;冬季工况热泵机组性能系数提高8.3%,运行费用降低7.8%。另外从表2可知,冬季地下空间出口干球温度为9.8 ℃,湿球温度为2.2 ℃,可有效保证室外机冬季运行不结霜。
由于地面景观要求,该项目非必要的设施不得设于地面上,因此冷却塔设于地坑内(见图2),地坑四周地面设置地下2层空间排风口,一方面解决了排风井出地面的美观问题;另一方面,夏季通过将地下2层低温空气有组织地排至冷却塔进风口附近,提高了冷却塔表面换热系数,同时低温空气可提高冷却塔冷幅宽、降低冷幅高,显著提高冷却塔的换热效率。

图2 冷却塔布置在地坑内
设计工况下利用地下空间排风作为冷却塔进风的空气干球温度tg=27.4 ℃,湿球温度ts=23.9 ℃。作为对比,相同冷负荷侧参数下,与常规设计工况下冷却塔运行参数对比见表4。
从表4可知,相对于常规工况,利用地下空间排风空气能的冷却塔系统,设备安装造价节省34%,运行费用节省24%,补水节省18%。由于有效利用了地下空间的免费能源,风机和水泵运行功率大大降低,补水量也明显减少;另外,由于换热效率提高,冷却塔设备容量也相应减小。
表4 冷却塔散热利用地下空间排风与常规工况对比
利用地下空间排风工况 | 常规工况 | |
冷水流量/(t/h) | 275 | 275 |
冷水供/回水温度/℃ | 7/12 | 7/12 |
冷却水供/回水温度/℃ | 30/35 | 30/35 |
干/湿球温度/℃ | 27.4/23.9 | 35.0/25.8 |
冷却塔进风量/(m3/h) | 116 000×2 | 122 000×2 |
风机功率/kW | 15 | 22 |
冷却水泵功率/kW | 60 | 74 |
补水量/(t/h) | 3.6 | 4.4 |
系统综合造价/万元 | 12.1 | 18.2 |
年运行费用/万元 | 4.2 | 5.5 |
该项目地下1层室内空间全部为空调区域,空调新风采用热回收技术。这就要求每个空调或新风机房同时有一进一排2个风井。GB 50736—2012《民用建筑供暖通风与空气调节设计规范》第6.3.1条要求,为避免新风与排风在室外空间发生气流短路,进、排风井必须在竖直或水平方向有适当距离,由于该项目地面为林带景观,基本没有地面建筑,竖向无法解决距离问题,只能在水平距离上解决此问题。
该项目地下1层建筑单个防火分区面积不超过2 000 m2,当有餐饮房间时,单个防火分区面积不超过1 000 m2。由于空调、通风及排烟系统水平按防火分区设置,同一防火分区会有大量的风井出地面。为尽可能少破坏地面林带景观,除了贴出地面楼梯间设风井外,其余的风井不单独出地面。GB 51251—2017《建筑防烟排烟系统技术标准》第3.3.5条要求,火灾排烟口与正压送风进风口距离不应小于20 m。疏散楼梯间由于有防烟要求,贴临风井均为消防进风井或平时使用的风井。
综合项目以上特点,在地下1层疏散楼梯间附近设置热回收空调或新风机房,机房内设置一进一排2个风井,其中排风井贴楼梯间出地面平时排风,进风井出地下1层顶板后水平设置土建风道,远离楼梯间20 m在地面设置取风口,取风口采用地坑式,水平土建风道设在覆土2 m以下。为最大化利用风井及风机房,减少出地面风井数量,热回收空调或新风机房内布置消防排烟风机,火灾时利用平时进风井作为排烟井,保证排烟口与正压送风口距离大于20 m, 平时使用时也避免进风井与排风井气流短路。同时由于平时进风井有一段距离超过20 m的水平土建风道埋设在覆土下(见图3),新风进入机组前在该地道内与土壤充分换热获得免费能量。

图3 新风经埋地管道预冷预热示意图
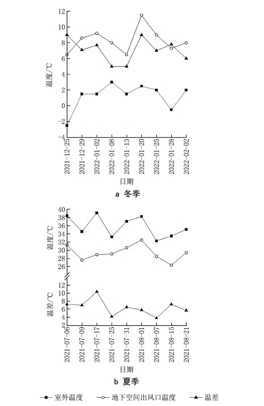
该工程于2021年7月1日投入使用,对典型日的室外温度、地下2层空间出风口温度进行了实测,为便于分析及比较,选取14:00的实测数据(见图4)。
图4a显示了冬季室外空气温度与地下空间出口温度的变化曲线。可以看出,经地下2层空间排出的空气温度相对室外空气温度有所上升。实测室外平均温度为1.2 ℃,而地下空间出风口的平均温度为7.1 ℃,即通过地下2层空间的加热作用,新风平均升温幅度高达5.9 ℃。此外,室外温度越低,温升就越大,地下空间加热作用也就越强。在室外温度极低的情况下,如果以经过地下空间换热的空气作为空气源热泵的低位热源,空气源热泵性能系数会有很大的提高,该系统的优势也会体现得更加明显。根据使用方反映,首个供暖期室外机运行期间未出现化霜工况,根据相关研究

图4 冬夏季室外温度与地下空间出风口温度
图4b为夏季室外温度与地下空间出口温度对比图,与冬季工况类似,夏季空气经地下空间降温效果也非常明显,平均降低6.4 ℃。
由于该项目水平埋地土建风道埋深较浅,并且地道面积有限,根据相关研究
1) 利用埋深超过10 m的地下2层空间的空气作为空气源热泵的低位冷热源,提高了空气源热泵的性能系数;同时冬季热泵运行时,避免了室外机结霜导致制热效果差、需增加电辅热的问题。
2) 制冷季,通过有效的气流组织,将地下2层的机械排风排至冷却塔进风区域,强制通风不仅提高了冷却塔的表面换热系数,同时低温空气可提高冷却塔冷幅宽、降低冷幅高,加大冷却塔冷却能力。
3) 室外新风通过与覆土2 m以下的地道换热,夏季预冷、冬季预热,获得免费能量,有效提升了能源利用率。
4) 充分利用地下人防及车库空间或因为消防原因必须设置的土建地道,降低了工程造价。另外,地下空间空气能的利用均是通过间接换热,避免了由于地下空间空气质量差直接利用影响室内空气品质。
随着地下空间开发利用程度加大,以后将会有更多更大的地下空间工程项目实施,该工程设计经验可供后期项目参考。
[1] 高亚南,李永安.基于地道风的空气源热泵系统研究及应用[J].建筑科学,2010,26(10):277- 280.
[2] 田志谦,冯日端,袁代光.地下工程中空气离子环境和氡害[J].环境科学,1989,10(1):21- 25.
[3] 任建喜,韩强,高虎艳,等.西安地铁沿线地层温度冬季分布规律观测研究[J].城市轨道交通研究,2012,15(10):39- 42.
[4] 杨艳芳.土壤新风换热系统应用研究[D].西安:西安建筑科技大学,2013:24- 25.
[5] 张锡虎.地道风降温的热工计算[J].暖通空调,1981,11(4):5- 11.
[6] 高亚南,李永安,王琳,等.地道风的空气源热泵在寒区应用研究[J].低温建筑技术,2009,31(8):111- 113.